on
Kalman Filter Learning Note
Kalman Filter Algebra Formula

================================================================================
Linear Algebra Formula

================================================================================
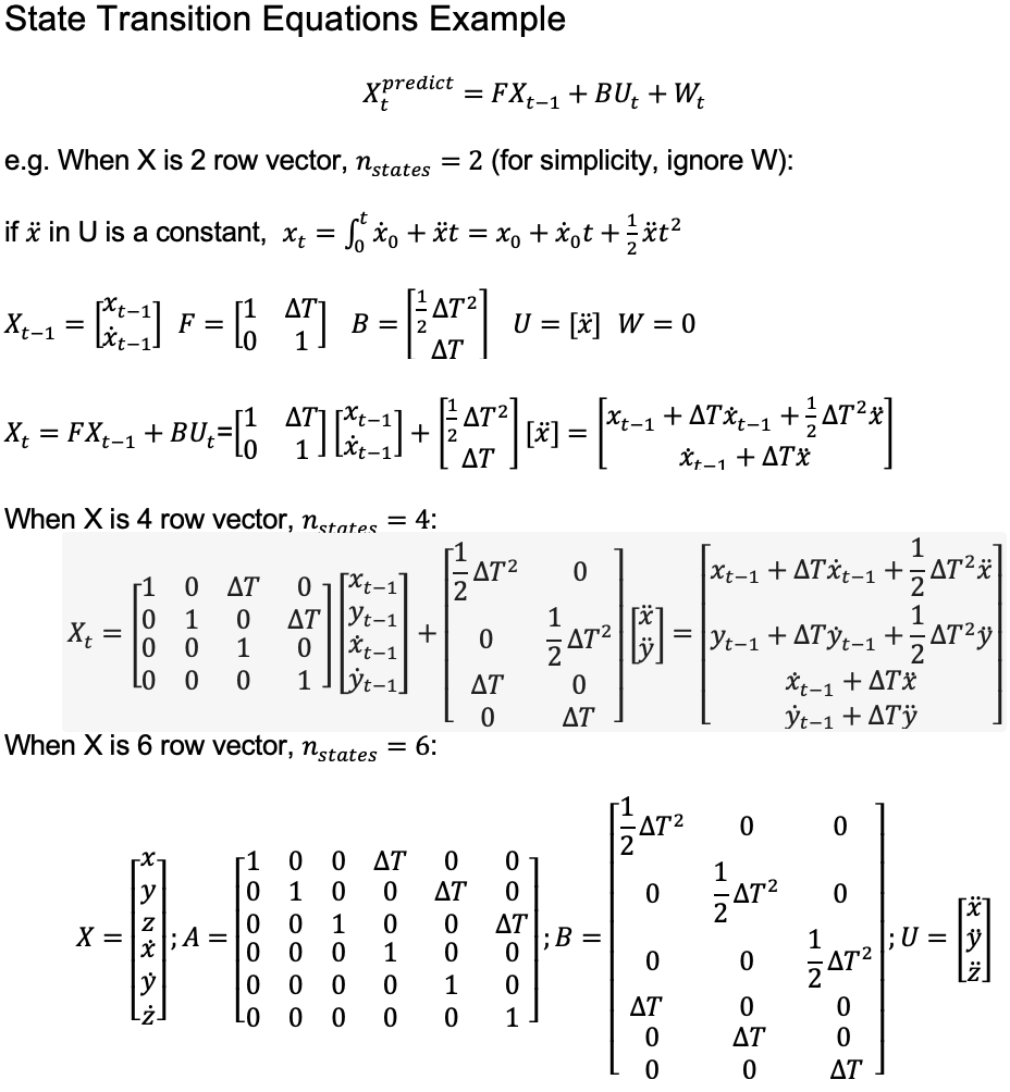
State Transition Equations Example

================================================================================
Uncertainty Matrix P (Covariance Matrix) Example

End